Ассоциация малых операторов России (АМОР) обратилась к Руководителю Администрации Президента, главе Минцифры Максуту Шадаеву, председателю Госдумы Вячеславу Володину и премьер-министру Михаилу Мишустина для прояснения методических рекомендаций ФАС от 18 мая 2023 года по установлению тарифов на предоставление доступа к инфраструктуре сетей электросвязи, а также для определения понятия "точка доступа".
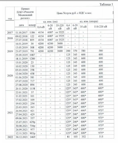
Глава АМОР и генеральный директор "ОрдерКом" Дмитрий Галушко предоставил письмо и прокомментировал ситуацию "Кабельщику". В письме сообщается, что при составлении методических рекомендаций был введен термин "точка доступа", однако не было расшифровано, что это такое. Это привело к возникновению ряда проблем. Так, компания ПАО "Россети. Московский регион" подменила единицу измерения услуги – в тарифах до 2023 года такой единицей была 1 опора, что подтверждается договорами с операторами связи и решением ФАС об экономической обоснованности тарифов на размещение оптического кабеля на 1 опоре.

Однако в 2023 году ПАО "Россети. Московский регион" в прейскуранте изменила единицу измерения на "1 провод на опоре в месяц", что привело к кратному повышению стоимости на предоставление интернет-услуг для одного абонента.

Некоторые энергетические компании, например АО "Мособлэнерго", в договоре прописали тариф за каждое размещенное место подвеса, но по факту за подвес считают каждый размещенный провод, сообщается в письме.

Кроме того, в письме сообщается, что новые методические рекомендации ФАС фактически нарушают поручение президента о введении до 2024 года моратория на повышение платы за использование операторами связи объектов государственной и муниципальной собственности для размещения телекоммуникационного оборудования. Тем временем ПАО "Россети. Московский регион" завуалированным образом повышает тарифы в 2023 году, а ряд дочерних предприятий компании (ПАО "Россети Юг", ПАО "Россети Тюмень", ПАО "Россети Северо-Запад", ОАО "МРСК Урала", ПАО "Россети Ленэнерго") в 2023 году уже на 10% повысили цены на доступ к опорам ЛЭП для размещения сетей электросвязи.
В письме также говорится, что цена, рассчитанная ФАС России в ряде дел о нарушении антимонопольного законодательства по компаниям группы ПАО "Россети" ("Россети. Северный Кавказ" и "Россети. Московский регион") не соответствует положениям постановления правительства о недискриминационном доступе и является заградительной для обеспечения кабельной сетью малонаселенных пунктов проживания.
Аналогичное письмо было направлено в Минэнерго с просьбой ввести определить понятие "точка доступа" как "опора". Под письмом подписалось уже более 50 операторов.
Дмитрий Галушко сообщил, что уже получил ответ от Администрации Президента, в котором сообщается, что в связи с предоставлением новой информации, срок рассмотрения обращения продляется до 23 июля.
В течение этого периода операторы будут вынуждены либо подписать договор на новых условиях и платить по новым тарифам, либо обращаться в суд и пытаться отстоять свое право заключить договор по старым условиям – с рассчетом платы за 1 опору, а не за каждое крепление. "ОрдерКом" уже помог выиграть три подобных суда.
В случае если оператор не будет перезаключать договор, а оставит свои кабели на ЛЭП, это будет расцениваться как неосновательное обогащение, и уже энергетическая компания может подать в суд на это. Кроме того, энергетики могут произвести демонтаж в рамках самозащиты права.
Дмитрий Галушко считает, что работа предстоит непростая, ведь возникает конфликт интересов – главой ФАС является член совета директоров энергетической компании "Россети", однако сообщает, что с Ассоциацией готовы общаться Минцифры, Роскомнадзор и ФСБ, так как АМОР представляет интересы малого бизнеса.
К критике методических рекомендаций ФАС также присоединились ассоциации "Макател", АСТО (Ассоциация телекоммуникационных операторов), некоммерческая ассоциация "Областные телевизионные сети", а также Ассоциация операторов связи Республики Дагестан, насчитывающая около 20 операторов.
"Данное обращение открыто для присоединения. Его можно подписать как отдельно и тогда направить в указанные органы, либо обратиться к интеграторам Процесса – руководителям соответствующих Ассоциаций", – добавил Дмитрий Галушко.
- Войдите или зарегистрируйтесь, чтобы оставлять комментарии